中科院水保所植被恢复后土壤碳流过程研究取得进展
作者: 发布日期:2023-03-01 浏览:
近日,中国科学院水土保持研究所在Soil Biology and Biochemistry上,发表了题为Carbon stabilization pathways in soil aggregates during long-term forest succession: Implications from δ13C signatures的研究论文。
土壤固碳一般通过碳库变化、团聚体形成、腐殖质形成等过程来评估,但关于团聚体之间和内部的碳通量路径却较少被描述。稳定碳同位素技术被认为是探究有机碳稳定和周转的有效手段,13C丰度的差异提供了碳流动路径的信息。在全球变化背景下,植被恢复被认为是减缓全球变暖、提升土壤固碳能力的有效措施之一。然而,关于长期森林演替过程中植物碳输入对团聚体碳库的贡献及团聚体内部的碳流路径仍不清楚,限制了对土壤固碳机制的认识。
该研究以黄土高原子午岭林区长期植被演替序列为研究对象,采用13C稳定同位素技术揭示了团聚体碳流路径及强度;根据植物碳源的输入位置和分解速率的差异,修正了质量平衡公式进而量化了凋落物和细根衍生碳对土壤有机碳库的贡献,阐明了团聚体的完整碳流过程即从外源碳输入至团聚体内部流动的完整动态。
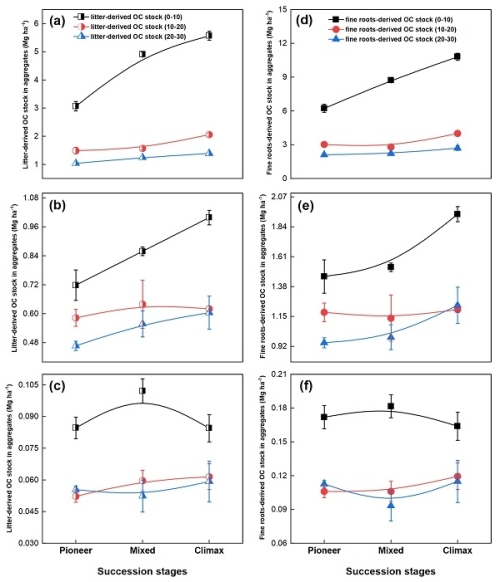
研究发现:团聚体碳流路径遵循从大团聚体向粘粉粒径流动的趋势,同时,在森林演替过程中,表层土壤的碳流强度逐渐降低(图1);植物衍生碳主要被固定在大团聚体中,演替至顶级林阶段时,表层土壤中植物衍生碳对各粒径团聚体碳库的贡献分别为大团聚体(30%)、微团聚体(27%)、粘粉粒径(25%);在所有情况下,细根对团聚体碳库的贡献均大于凋落物(图2、3)。研究发现微生物量碳是控制细根衍生碳储量的关键因素,这进一步表明微生物在植物碳输入流向土壤碳库过程中发挥核心作用。该研究为阐明长期植被演替过程中土壤有机碳稳定路径及其驱动机制提供了理论依据。
水保所为第一单位,中科院地球环境研究所、德国哥廷根大学、德国卡塞尔大学、沙特国王大学等单位的科研人员参与研究。研究工作得到国家自然科学基金等的支持。

图1.长期演替下有机碳在团聚体各粒径间的流动路径

图2.长期演替下土壤团聚体中的植物衍生碳储量

图3.长期森林演替下土壤团聚体碳流过程概念模型
【上一篇】 中科院版纳植物园海拔梯度根际微生物研究获进展